8-Gravel
July 10, 2023
Question
Mathcad Not Returning Function
- July 10, 2023
- 1 reply
- 840 views
Hi All,
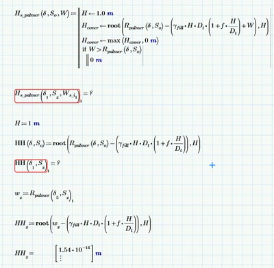
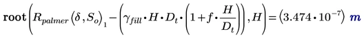
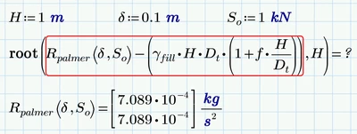
Working with multiple input data as matirx or vector and got a error message on function cannot be use here.
Root function solve if I rewrite the R into a wx,
Appreciate some advise to see what can be done to solve this multiple combination function by recalling the variable I like to combine in the equation.


