6-Contributor
October 29, 2021
Solved
Mathcad Prime - Breaks in Integral Graph Causing Problems
- October 29, 2021
- 3 replies
- 3884 views
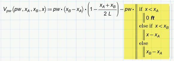
Hello everyone.
I'm trying to make a spreadsheet that graphs partial uniform loads and seem to have run into an issue. It all works for the most part. However, when trying to graph, the graph typically "fails" in certain places. See my attached file and notice the missing portion of the graph at x=8.4ft.
Is there any way to fix this?
Note that I've already tried messing with the TOL global variable to no avail. It usually causes the break to move to a different place in the graph and doesn't actually fix anything. If it does fix it then it is usually just for that one case and if you put in different loads/locations it'll break again. What should I do?





