Question
Mathcad Prime coding issue
- April 5, 2017
- 2 replies
- 2904 views
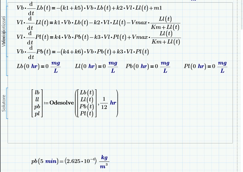
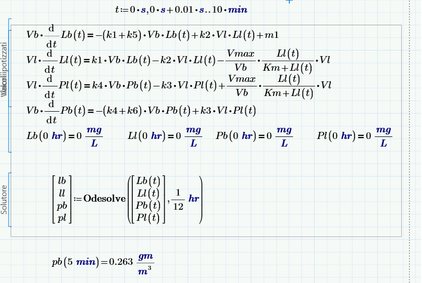
Hello,
I am new to Mathcad and am getting the error "unable to form derivative matrix" when using OdeSolve. I think I may not be able to use OdeSolve inline like I am doing, so I tried putting it outside of the solve block as well. Can anyone confirm this? And what should I do instead? I appreciate your help. I am re-posting this because I have changed the code since then thanks to help, but am still getting the same issue. The file is attached, and the screenshots are displayed below.


