13-Aquamarine
November 14, 2024
Solved
Mathcad programming
- November 14, 2024
- 3 replies
- 1319 views
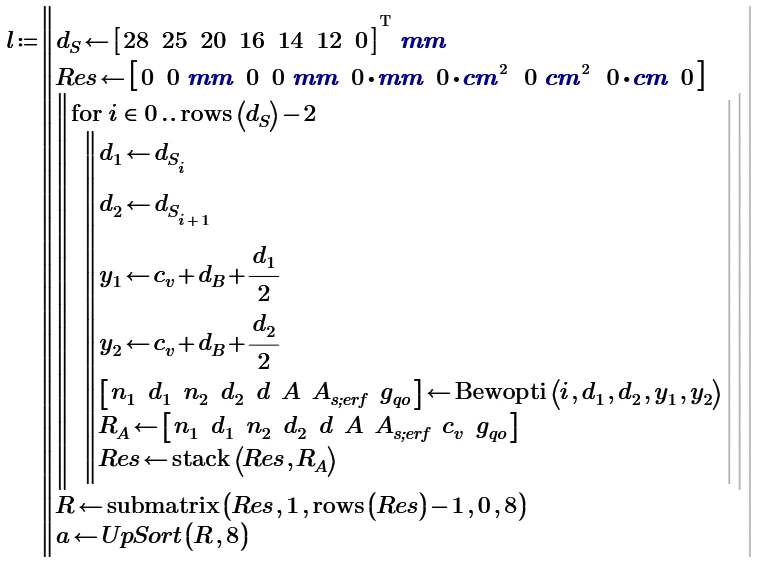
Hello everyone,
could someone explain why i am getting different answers in the programs e and l.
Is there a way to get same output from both the programs? Does it have something to do with for loops?
the output should be like program e.
Attached Mathcad 10 file.





