1-Visitor
May 9, 2020
Question
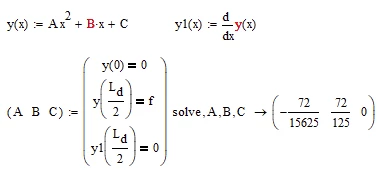
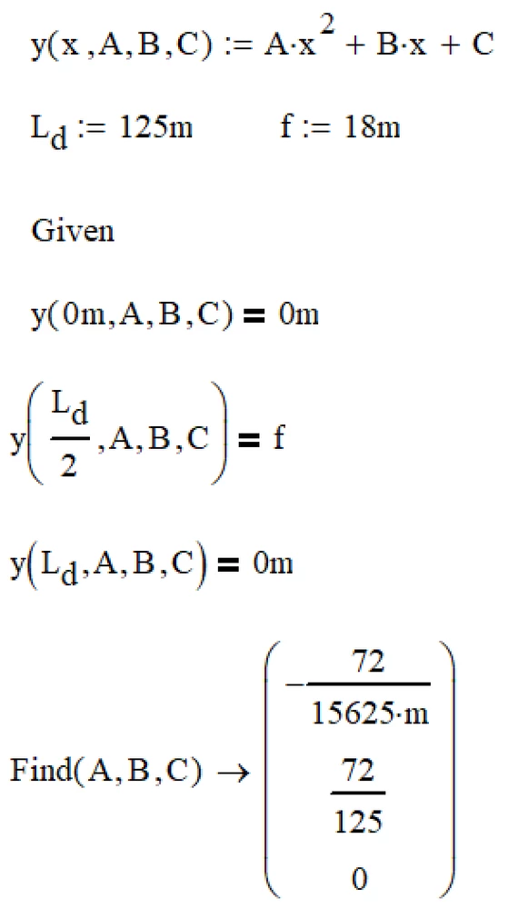
Mathcad quadratic equation of an arch
- May 9, 2020
- 3 replies
- 3445 views
Hi PTC Community,
I would like to find a solution and better understand of how I can define this type of equation and how to get the results for the arch height at different points. I am attaching a sketch for a better understanding.
I thank you all!


