1-Visitor
August 19, 2016
Question
Matrice to lenght and angle
- August 19, 2016
- 1 reply
- 1480 views
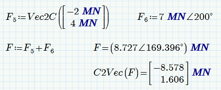
In the picture that I have added to this post there is an assignment where I have added four vectors. In method one i have the lenght and a angle, but can I convert it to a coordinate?
In method two I have the opposite problem my result Fres is a coordinate but can i convert it to a lenght and an angle?

