Solved
Matrices
- January 15, 2026
- 2 replies
- 600 views
Hello!
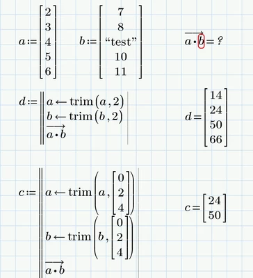
Is it possible to do the following:
I have two matrices, say 5x1, but want to perform computation using 4 elements of both matrices. In other words I want to omit one row (value) form the computation. The result will be vectorized.
Best regards,
Sergey


