Solved
Hi,
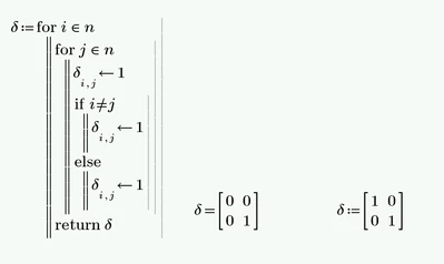
Try this:-
You can use programming as you have tried or the identity() inbuilt function.
Mathcad arrays start at index 0 unless you set ORIGIN=1.
Enter your E-mail address. We'll send you an e-mail with instructions to reset your password.


