Skip to main content
1-Visitor
May 25, 2020
Question

Matrix Equation

  • May 25, 2020
  • 2 replies
  • 5523 views

Dear All 

Could you help me please ? How to write this equation in Mathcad Prime ?

 

Capture.PNG

 

2 replies

23-Emerald IV
May 25, 2020

what you are looking for. I see a table. Do you need a formula to calculate output as per the table based on input? Then you need to be specific what the inputs are.

 

Success!
Luc

1-Visitor
May 25, 2020

Thank you for reply , Mr./Ms. LucMeekes,

i want to write equation have condition like that.

following table as previous, thank you so much. 

YornEngtang_0-1590393511867.png

 

23-Emerald IV
May 25, 2020

This still leaves much to guess!

I propse YOU start entering the information on a mathcad sheet, and make an attempt to write up the equations. If you run into problems, attach the worksheet (NOT just a picture) and provide a clear problem description.

Then we may be able to help.

 

Success!
Luc

23-Emerald I
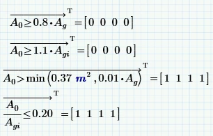
May 25, 2020

You can vectorize Boolean comparisons

FredKohlhepp_0-1590425017445.png

 

Prime 4 attached

 

1-Visitor
May 26, 2020

  

 Hi Mr. FredKohlhepp

I'm really thank you for your help me. i respect you for your kindly shared me.