Solved
Matrix exponential function via Taylor's series
- March 14, 2024
- 1 reply
- 3147 views
Hi,
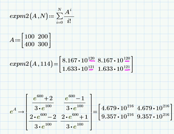
I found this file Mathcad - expm.xmcd where it calculates:

It seems that the calculation of exponential with exponent a matrix it is more rapidly done in this way than using e^([matrix]) in Mathcad Prime.
I put this in a Mathcad file (see MCP9 attached file), but I am not sure if I did things correctly (like I do not see a influence of that if 0<n) and I do not fully understand the procedure/calculation (I see that there is 2 methods. What are the difference between them? What is better to use?)
Can someone check and explain the procedure/calculation if understand it?





