Solved
Matrix, partial derivate and 'for' loop
- July 23, 2025
- 1 reply
- 616 views
Hi,
[using MP 11].
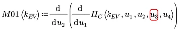
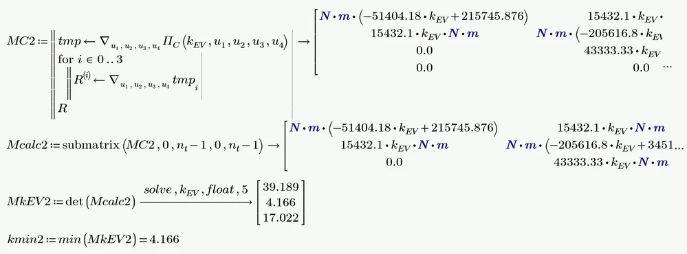
I'd like to build up a matrix (n x n, square and symmetric), with the help of a loop.
The problem is that each of the terms in this matrix is the second partial derivate of a function of n variables . I couldn't find a way to include this in a program (Match of the variable and the loop counter)
My goal is to program in a way that I don't get any "red square" or "this variable is undefined" in the layout.
In the enclosed sheet, the terms of the matrix are colour-highlighted. (The context is civil engineering, and the determination of the buckling factor of a column, here with a varying cross-section and varying compressive force).
Eager to see any insightful idea! Thanks.


