8-Gravel
October 10, 2024
Solved
Maximum Moment Calculation Multiple Loads
- October 10, 2024
- 2 replies
- 4071 views
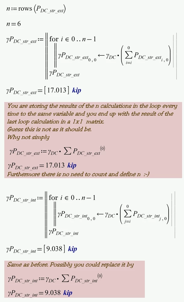
Does anyone know of a more simple equation to derive the max moment of a simply supported beam. I have 12 equally spaced loads with the first and last being spaced further from the support than the typical spacing. Exterior loads are different from the interior. Heres some pictures of what im working with. The BMD diagram is my check for the moment of the HL93 Inv Loads. I've done this before when only working with a couple concentrated loads but the formula would be to long for this. Would also like to be able to check the moment at any location along the beam





