Question
Maximum Value from Tables
Hello.
I have a table that generates two sets of info.
One is the actual design forces, and another is a minimum.
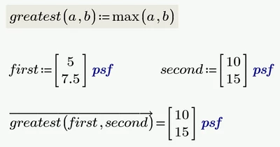
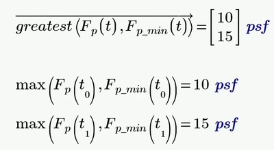
I want the maximum from each case.
For the 8" wall I want it to give me 10 psf and for the 12" wall I'd like it to give me 15 psf.
I have googled but no luck. I can create a max function but it gives me the maximum of all four numbers.
There a way to do this?


