1-Visitor
October 2, 2018
Solved
min and max of a function
- October 2, 2018
- 5 replies
- 32721 views
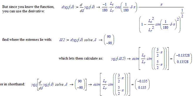
Yes, great! But there's more than one function in there.
Assuming you want the extremes of gamma.G1, here goes:


Note that I'm just inserting pictures, because I don't have a full Prime. (I'm limited to Express, which means no programs, no symbolics, no means and other silly limitations.)
So you will have to recreate this yourself in Prime 5 (which is a good exercise by the way!).
Success!
Luc
P.S. I noticed that you have a VERY poor display of numeric values set in your sheet. All numbers are displayed with no fractional parts. This can be very confusing. Take care!
Enter your E-mail address. We'll send you an e-mail with instructions to reset your password.