Min Max vector
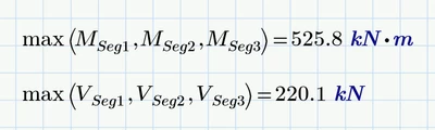
Can anyone teach how to produce the result for maximum moment between the 3 segment?
For example, Max moment = 525.8kN.m . Max shear = 220.1kN

Thank you for your help
Can anyone teach how to produce the result for maximum moment between the 3 segment?
For example, Max moment = 525.8kN.m . Max shear = 220.1kN

Thank you for your help
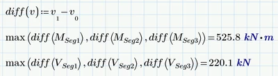
So would this do what you are looking for?

It gives you the maximum value of all green resp. all violet values, regardless in which row and considering the sign.

If that's not what it should be you have to be more precise in explaining how the values you are looking for should be derived and provide an example where my suggestion does not provide the desired result.
If for example you are looking for the maximum of the difference of the two values in each column, you would have to say so - the results using your data would be the very same ...

Enter your E-mail address. We'll send you an e-mail with instructions to reset your password.