4-Participant
July 26, 2023
Solved
Minimise value in solve block
- July 26, 2023
- 2 replies
- 2695 views
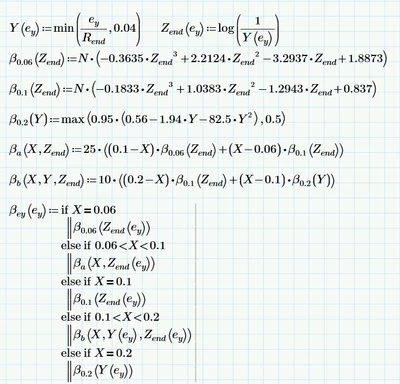
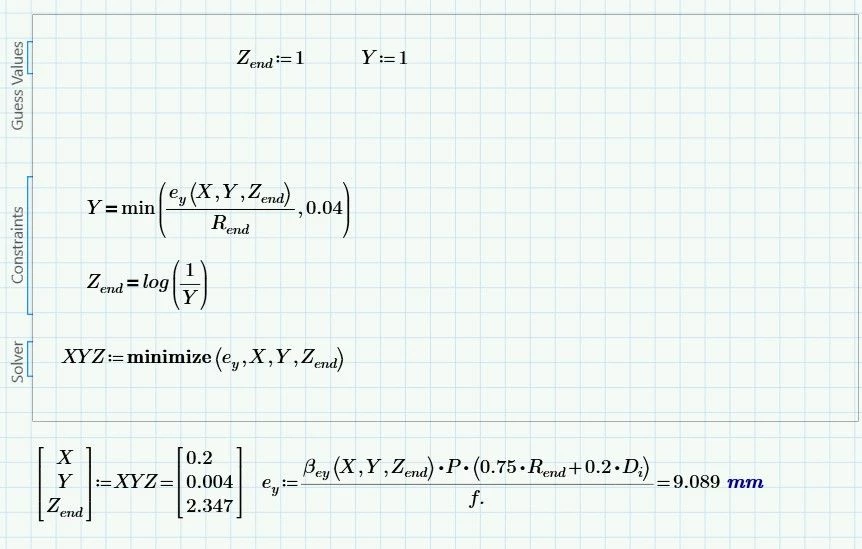
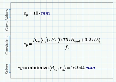
Hi,
I am looking to find a minimum value of 'ey' within a solve block based on a set of equations, which otherwise give a circular reference.
So far I cannot manage for the solve block to give me an answer and I was looking for some help.
Screenshot of problem:

Using PTC Mathcad Prime 8.0.0.0
Thanks,
JB



