Misleading results when algebraically differentiating functions
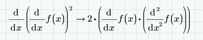
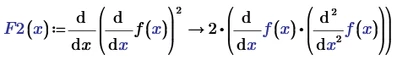
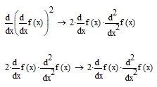
There is a problem with Prime8 in the way it assigns parentheses when differentiating functions - for example:

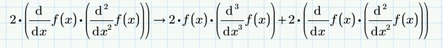
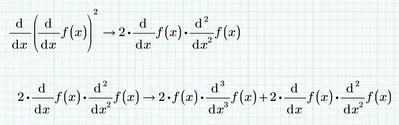
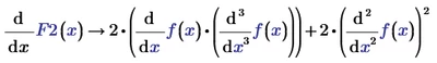
This of course looks correct - but if you paste the answer into another equation - Prime8 erroneously assumes the leading differentiation applies to the remainder of the expression i.e.:

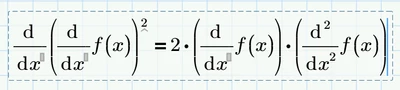
So Prime8 should have given the original differential with parentheses assigned as follows :

When deriving complex partial differential expressions (@SP_9781969) this defect is a problem. The workaround is to manually correct the results at each stage by inserting brackets at the right place - however, even this can be tricky as Prime8 conflates everything together and won't allow brackets to be inserted around the correct terms - so you have to cut and paste - and exercise that itself can inject errors further errors.

