Missing argument of a function
Hello
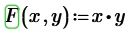
i have an equation. lets say

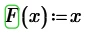
but if i have less arguments i want to do a different operation, lets say:


(of course defining the expression like this will say that it was already previously defined)
I dont want to create a new equation with different name.
how can I modify my original equation to understand that the missing argument is null
the closest i have reached is using an IF operator and checking if the other arguments are 0
something like
if z = 0 and y = 0
return x
if z = 0
return x * y
else
return x * y * z
then I need to wrinte something like this --> F(5, 5, 0)
if the ecuation is more complex i dont want to write 0 on the argument
i would like just to write
F(5, 5) and the equation should understand that Z is missing so just do x * y
hope you could help me

