Solved
Monte Carlo problem for a mathcad newbie
- May 17, 2022
- 1 reply
- 1301 views
Good morning
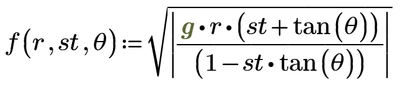
I'm hoping that someone may be able to help me with a monte carlo simulation problem. The function I wish to use has a root within it, which gives me an error. As soon as I remove the root from the function and use the rest of the equation, as my function it works, but obviously giving incorrect results.
Ive attached the baisc problem, if anyone can help
Thanks
Richie



