14-Alexandrite
November 3, 2025
Solved
Multiple selective values two matrix
- November 3, 2025
- 3 replies
- 847 views
Hi there ,
To be honest I don't even know
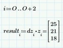
I need to multiple selective values in a matrix with selective values in another matrix . I used ( submatrix function ) however it didn't work :
where m is a row number

Here I want mathcad to multiple the first three values from both d and z
Can you help me doing this ? the sheet is attached
Thanks
Yusra

