14-Alexandrite
January 13, 2026
Solved
Must be a factor
- January 13, 2026
- 1 reply
- 217 views
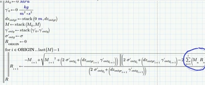
Hi there
I have a problem with this function . The issue is R is a cumulative value so the R2=R0+R1>
R3= R0+R1+R2 and so on... I wanted to implement that in this function but an error ( must be a vector ) shows
Is there a way to fix this or to write it differently

Thanks
The sheet is attached prime 11


