10-Marble
April 27, 2023
Solved
Need Help! General Solution to differential equation
- April 27, 2023
- 1 reply
- 4478 views
Hello everyone,
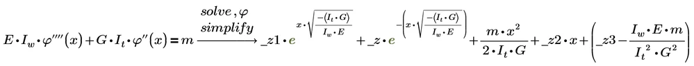
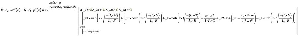
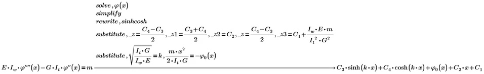
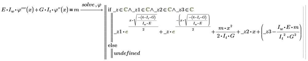
I hope you are all doing great in your daily life. I need a little help in solving the differential equation as I m new to MathCAD prime. I m trying to get the solution stated in pdf in MathCAD prime but I m stuck at differentiating the equation. If anyone can help me out I will be really thankful. I m attaching pdf as well as MathCAD prime 8.00 file for reference.
PS:
2.pdf shows the results i want to plot, 1 png is the case i want to solve and 2.png are the boundary conditions
Thanks



