Need Help Solving Boundary Value Problem Using Finite Difference and Predictor-Corrector Methods
Hi everyone,
I’m working on solving a boundary value problem for an ordinary differential equation and would really appreciate some help!

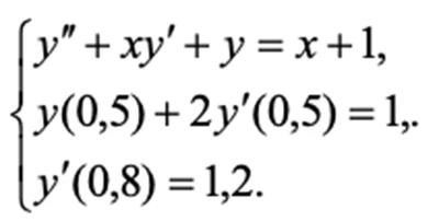
Using the finite difference method, I need to solve the boundary value problem with a precision of ε = 0.001. The integration step is h = 0.1.
Additionally, using the conditions from previous task, I need to solve the boundary value problem for the same ordinary differential equation using the predictor-corrector method with a precision of ε = 0.001.
Any guidance, examples, or suggestions would be greatly appreciated! If you need more details about the problem, let me know.
Thanks in advance!


