Solved
Network analysis
- January 6, 2024
- 4 replies
- 45420 views
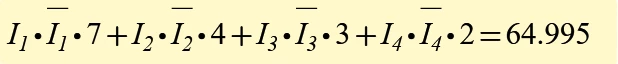
I would like to know if the analysis of this network is correct, thanks:











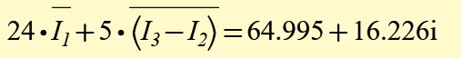
Ah, I used the wrong KCL around the transformers. After correction:

And with the correct values for Vi1 and 2:

The results now compare with those of ttokoro:

Success!
Luc
Enter your E-mail address. We'll send you an e-mail with instructions to reset your password.