15-Moonstone
March 19, 2025
Question
Non-converging ode calculation
- March 19, 2025
- 3 replies
- 869 views
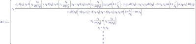
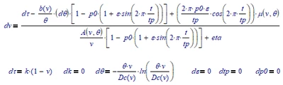
I am solving an ode. The calculation converges for some parameters but not for others. My problem is I cannot figure out why. There seem to be no obvious causes, e.g. like a denominator going to zero. I have looked at a number of other aspects without success. I am not mathematically adept enough to tease something out analytically, but maybe some one else is. If anyone has any insights or suggestions, I would appreciate it.
I have attached a worksheet. It is MathCad 11. I know there are some others out there using legacy versions like me (still using MC14).
Also sometimes instead of the non-converging error message, mc flags the rhs of the ode and says "The return value of this function must match the problem size." What does this mean?

