Non linear equation solution with data function
Dear All,
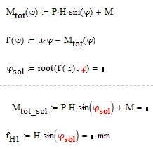
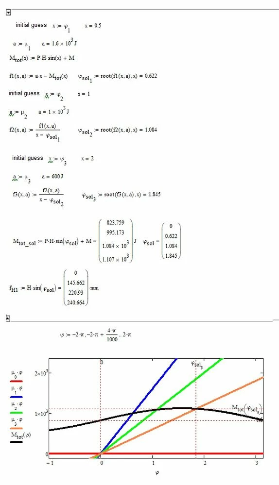
I need to solve a non linear equation in mathcad 15.
Input
After a physical test, I obtain the Mbase and phi value, that I use to determine mu trend (right graph).
I after need to use the mu function in a non linear equation, to determine the equilibrium configuration of the structure.
NL equation
How can I use the mu(phi) function in the NL equation? if I set mu as constant I don't have any problem.
I have a problem with mathcad file attach.
Best regards
Stefano

