Solved
Non- linear equations system solution Gradient descent
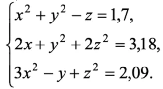
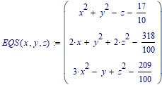
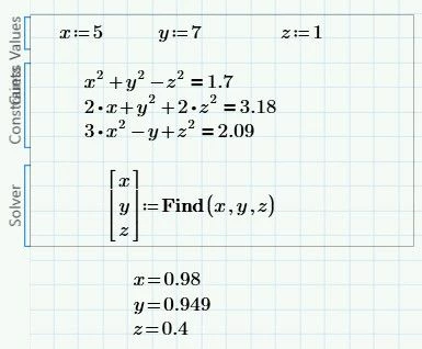
Hello everyone, maybe someone can help me solve or has a ready-made solution for solving a system of nonlinear equations by the gradient descent method. I use PTC Mathcad Express Prime 9.0.0.0






