Non-square matrix with left and right inverse matrices
A non-square matrix can have left and right inverse matrices.
Left and right inverse matrices may not be the only ones. If a matrix has both left and right inverse, then it is invertible and m = n.
Let M be an m x n matrix, i.e. defining a linear mapping from Rn to Rm.
1. If n < m, then there can exist a left inverse L matrix n x m from Rm to Rn such that LA = E (the identity matrix), the condition of this: Ker A = 0 (the mapping A is one-to-one).

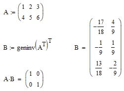
2. If n > m, then there can exist a right inverse R n x m matrix from Rm to Rn such that AR = E, the condition of this: Im A = Rn (mapping of A to the whole space).
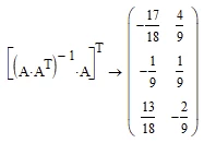
How can we calculate RIM?



