Solved
not correct unit
Hi,
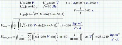
Why is my answer unit not in Volts (V), and how can I change the unit?

Hi,
Why is my answer unit not in Volts (V), and how can I change the unit?


Although Mathcad is pretty smart when dealing with unit conversions, it can't handle some, such as the square root of a volt.
Stuart
Enter your E-mail address. We'll send you an e-mail with instructions to reset your password.