1-Visitor
June 17, 2021
Solved
numerical solution of a differential equation
- June 17, 2021
- 1 reply
- 3425 views
Hello,
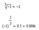
I would like to solve the differential equation in the document. However, Mathcad can only calculate the values if I use a positive factor. In Python the values are calculated without any problems. What am I doing wrong? The problem exists in Mathcad 15, as well as in Prime 6.0.
Thank you very much for any hints.
Best regards
Paul


