Skip to main content
21-Topaz II
June 1, 2016
Question

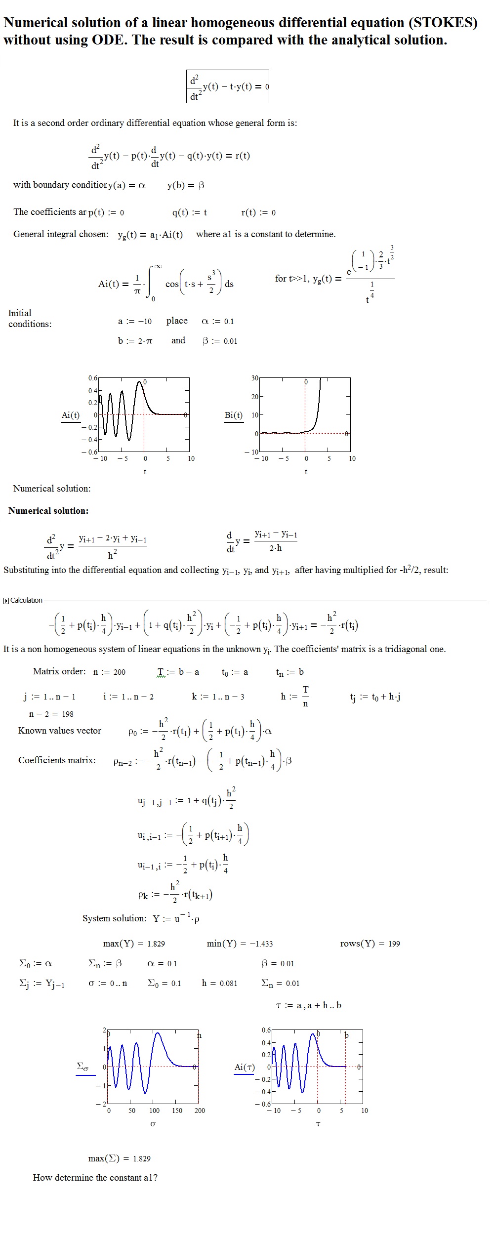
Numerical solution of a linear homogeneous differential equation (STOKES) without using ODESOLVE

  • June 1, 2016
  • 0 replies
  • 852 views

ODE.jpg