Skip to main content

1 reply

25-Diamond I
March 1, 2022

@ValeryOchkov wrote:

See Prime 6 in attach (one pendulum with a ribbon)

 


Looks like you forgot to attach the file!

 

BTW, how could L(F):=L.0 be a solution? Given the function L seen in your screenshot this seems to be not possible. F=0 is the only value for F where L(F) would be L.0. Or did you mean something else?

24-Ruby IV
March 1, 2022

Sorry ~ see the attach Mathcad 15  and Prime 6 

25-Diamond I
March 2, 2022

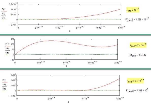
Strange and quite sensible. Usually this could mean "check your equations"?

 

See here the result with three different end-values and notice the magnitude of the force values.

Werner_E_0-1646226875904.png

Force seems to be rising and positive in these scenarios but the error thrown ("number with magnitude greater than 10^307) when calculating L(F(t)) would only occur if F goes below -1413 ?????