Solved
Odesolve problem
- June 30, 2025
- 2 replies
- 847 views
After several attempts I can't understand what is not working, please can you look at the attached sheet 

I had a quick look at your first sheet now. In contrast to the second sheet, the units are correct here, but you used a wrong syntax for "odesolve" (look it up in the help).
If we fix this we still get a very strange error message as of Odesolve having less than 2 arguments, which definitely is not true.
Looks like a bad bug in Prime. Reason are the inline evaluations of a an b in the solve block!
There are two workarounds:
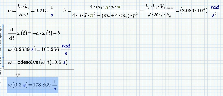
1) (preferred solution) define the constants outside and in front of the solve block. They have no direct relation to the Solve block, so they don't belong there anyway:

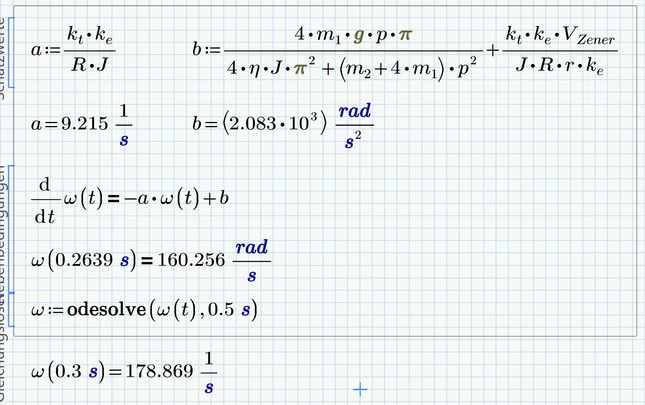
2) Omit the inline assignment to avoid running into the Prime bug. You may evaluate a and b for reference in separate regions

Incidentally, it has always been a good idea to avoid inline evaluations in Mathcad and to display the result of a calculation in a separate region. It usually works well, but it can also cause unexpected problems (especially in connection with matrices or, as is now the case here in the Solve Block).
Enter your E-mail address. We'll send you an e-mail with instructions to reset your password.