One interesting problem with shoe
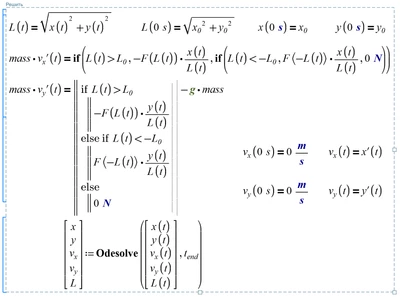
I always wonder why, after a walk in the park, some of my shoes remain clean, while others are always smeared with dirt. I videotaped my walk and realized that the reason was a large welt of brown boots. Drops of water flying up can get on the shoes only if they have a certain trajectory, which depends on the initial conditions (Cauchy problem). Now I am trying to create a mathematical model (ODEs) of this process in Mathcad. Who can help me? May be this problem was solved! 


