Question
Parallel resistors or voltage divider
Hello folks,
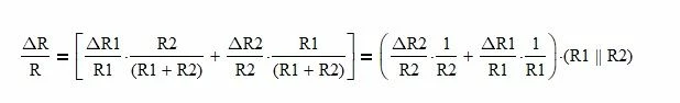
What would be the best approach finding the closest match of combination of given array of resistors which are connected in parallel?
For example having a number of resistors in the database I would need to find two values which will give me the closest match for known equivalent parallel resistor?
I am using full version of MathCad
Thanks!
What would be the best approach finding the closest match of combination of given array of resistors which are connected in parallel?
For example having a number of resistors in the database I would need to find two values which will give me the closest match for known equivalent parallel resistor?
I am using full version of MathCad
Thanks!

