1-Visitor
October 7, 2017
Question
Parameter Estimation Problem
- October 7, 2017
- 3 replies
- 3591 views
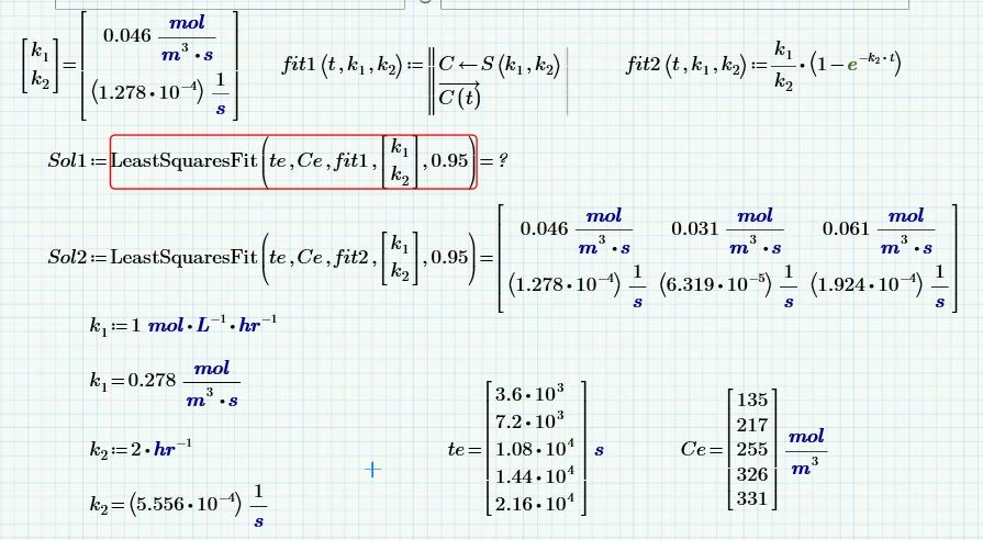
Dear Experts,
I want to find confidence intervals for estimated parameters using LeastSquaresFit. Without units, there is no problem. When using units, an error occurs if the fitting function defined as a program block. How to solve this problem?
With units:

Without units:


