Skip to main content
1-Visitor
July 23, 2014
Question

Partial derivative symbol

  • July 23, 2014
  • 3 replies
  • 13103 views

I need to write, in Mathcad Prime 3.0, the partial derivative of a function, but I do not know how to do it. Can anybody help? Thanks

3 replies

1-Visitor
July 23, 2014

Under the Math tab look under Operators and then Calculus

Piovrik1-VisitorAuthor
1-Visitor
July 23, 2014

In operators and calculus I see just the normal derivative symbol (d/dt).

1-Visitor
July 23, 2014

Sorry I did not read your post correctly. I do not think there is an option for partial derivative in Prime 3.0. If I remember correctly it was an right click mouse option in M15.

5-Regular Member
July 23, 2014

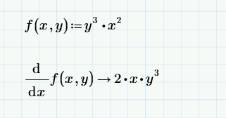
In Prime 3.0, you can use the regular derivative symbol to accomplish a partial derivative. The notation will obviously be different, but the function will be the same. 7-23-2014+8-18-59+AM.png

24-Ruby IV
July 23, 2014

Jonathan Luke Westbrook wrote:

In Prime 3.0, you can use the regular derivative symbol to accomplish a partial derivative. The notation will obviously be different, but the function will be the same.

I never understood why we need to have two symbol for the derivative. Tradition tribute?

25-Diamond I
July 23, 2014

Valery Ochkov wrote:

Jonathan Luke Westbrook wrote:

In Prime 3.0, you can use the regular derivative symbol to accomplish a partial derivative. The notation will obviously be different, but the function will be the same.

I never understood why we need to have two symbol for the derivative. Tradition tribute?

We can discuss and redefine every single piece of agreed on vonvention and notation, but why should we do so?

A math software has to follow the common math notation as close as possible.

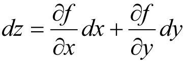
In math a differential "dx" is more than just an indicator for building a derivative wrt x.

Think about a simple total differential of a function in just two variables

pd.png

We sure would get into trouble by not distinguishing between 1.pngand dx.

BTW: this a formum about a math software. Isn't it a shame we don't have a decent equation editor on our dispose when we write messages here? Just a little bit of TEX would do the job pretty well. We can't even use simple super or subscripts, but all that social media nonsense. 😞

25-Diamond I
July 23, 2014

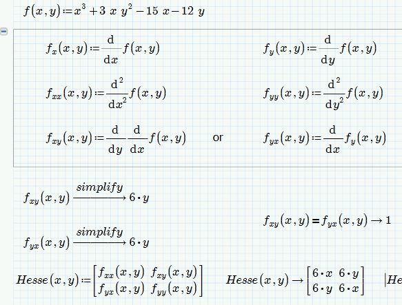
Technically there is no difference between the partial and the regular derivative. But its annoying we cannot show the symbol the correct way in Prime as we were able to do up to Mathcad 15.

Depending on what you want to achieve you may chose to define some auxiliary functions (collapsed area) to simulate another way to denote partial derivatives.

partial.png