Partial Derivative with Matrix
- April 1, 2019
- 3 replies
- 5409 views
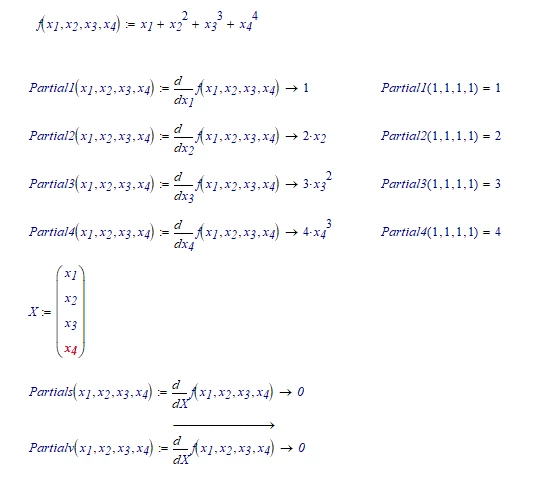
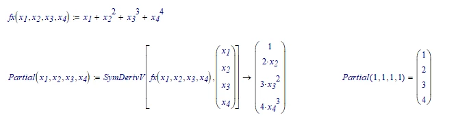
I tend to do a lot of partial differentiation in my analyses and how I currently do it is to hard code each partial to their own variable. This tends to clutter my analyses, since I deal with rather large multi-variable equations. I tried being slick today by defining a 1xn matrix (where n is the total number of variables and each element contains the variable names that I need to do partial derivatives on) and performing the partial derivatives on that matrix and vectorizing it. Mathcad doesn't flag an error, but what it's calculating isn't correct. I believe it's trying to do the differentiation on the value of the variable rather than seeing it as a variable by itself, because it always calculates the result as 0. Does anyone know how I can get mathcad to see these as variables or know I better way of going about this? I've attached an example of what I am attempting if it isn't clear in my writing.


