Solved
Partial Derivatives in Prime
How an I get results for partial derivate in Mathcad prime?
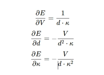
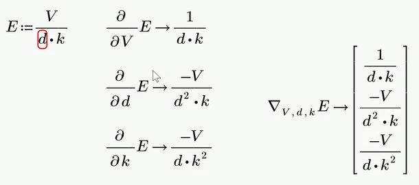
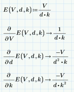
Where E:= V/d*k

How an I get results for partial derivate in Mathcad prime?
Where E:= V/d*k

You may note the slight difference between "stdev" and "Stdev", which is of course all the greater the smaller the data sample is.

See Variance and Standard Deviation
Enter your E-mail address. We'll send you an e-mail with instructions to reset your password.