Solved
Pattern match exception problem
- November 1, 2017
- 1 reply
- 9648 views
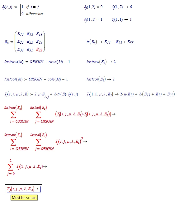
Hi
I`m trying to make simple calculation but without success. What`s the problem?
MC15 file is attached for convenience.
Thanks in advance.
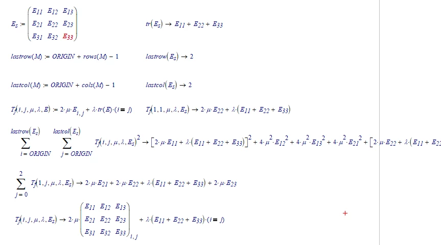
Or use this alternative definition of it:

(The symbolic processor is not so fond of programming constructs, it likes pure mathematical expressions better.)
Success!
Luc
Enter your E-mail address. We'll send you an e-mail with instructions to reset your password.