10-Marble
October 15, 2023
Solved
Piecewise Linear function Error
- October 15, 2023
- 1 reply
- 2802 views
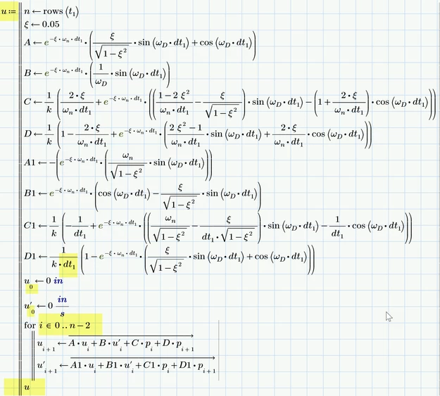
Hi,
I am new to Mathcad and face some problems. I have attached a file in which I am trying to plot the displacement using the Piecewise Linear Interpolation method of structural dynamics. I have defined all variables and put them in the loop, but when I try to plot displacement (u) versus time (t1), I get an error "this value must be a vector".
I would really appreciate it if you could help me resolve this issue.


