Solved
Ploting from solved non linear equations
- December 5, 2025
- 1 reply
- 455 views
Dear ptc community,
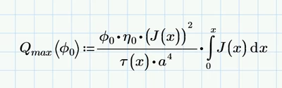
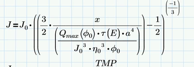
I am trying to plot a solved parameter of nonlinear equations (J) vs x (a variable that can range from 0 to 0.5. I have tried to plot it, but I got only a point rather than a continuous line plot. Can you please help me with it? I have attached my Mathcad (7.0.0.0) file for your reference.
Thanks in advance.
Kind regards,
Tadele


