Skip to main content
19-Tanzanite
April 2, 2024
Solved

Plotting failed when defining with inequality

  • April 2, 2024
  • 4 replies
  • 2306 views

Hi,

Why is not possible to plot like below?

Cornel_0-1712043765628.png

 

Best answer by ttokoro

image.pngimage.pngimage.pngimage.png

4 replies

ttokoro
21-Topaz I
ttokoro21-Topaz IAnswer
21-Topaz I
April 2, 2024

image.pngimage.pngimage.pngimage.png

t.t.
19-Tanzanite
April 2, 2024

Deleted

23-Emerald IV
April 2, 2024

The answer to your question:

Because x/a is a scalar when f(x,a) is called through a plot and you cannot compare a scalar with a range.

 

Success!

Luc

25-Diamond I
April 3, 2024

Here are my 2 cents worth

Werner_E_1-1712154014875.png

 

Cornel19-TanzaniteAuthor
19-Tanzanite
April 4, 2024

How can be made for this @ttokoro 

Cornel_2-1712222750930.png

 

Cornel_7-1712222933883.png

 

Cornel_4-1712222777468.png

An how to see when, at what position x/a=0.5, 1, 1.5, 2, etc... as there are 10000 elements...

Cornel_5-1712222836773.png

Cornel_6-1712222857080.png

 

 

 

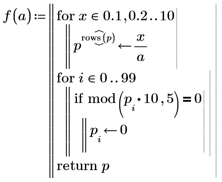
ttokoro
21-Topaz I
21-Topaz I
April 4, 2024

mod condition does not match. So return no data. Not last(x) but last(p). Add else condition.

 

image.pngimage.pngimage.png

t.t.