Plotting Trouble in Mathcad 7 Prime
- November 22, 2022
- 1 reply
- 1096 views
Hello,
I want to plot some functions:
![]()
![]()


And the function f2(t) should look similar to the function f1(t), not exactly, but something like f1(t) looks.

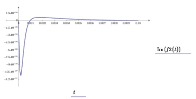
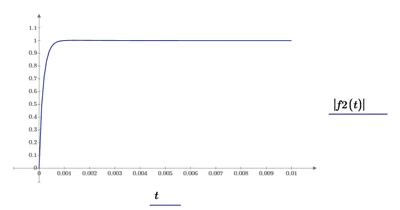
The problem is that the graph of the function f2(t) is displayed only when I increase the time axis so much (10^1, 10^2, 10^3, etc), which is a bit much because I want to see this part (see image below) from the beginning as it looks, not a straight line

And not like this (see image below), because I want to be able to see the transient/beginng part much more, how will look (like the image shown above)

Good:

Bad



Bad

I would like, if it is possible, to plot both functions on the same graph and to be able to see the beginning part for the function f2(t) just as I can see it in the case of the function f1(t)
Mathcad Prime 7 file attached.
Thanks.




