Skip to main content
13-Aquamarine
May 17, 2024
Question

+/- Plus/Minus sign Mathcad Prime?

  • May 17, 2024
  • 2 replies
  • 4799 views

Does Mathcad Prime include a ± plus/minus sign or symbol?  

2 replies

ttokoro
21-Topaz I
21-Topaz I
May 17, 2024

I think the answer is no. You can only use special fonts that windows can display like yours. However, it is no meaning. So you must define it to use.

image.png

t.t.
13-Aquamarine
May 17, 2024

Thanks @ttokoro  -  I figured it was worth adding (with slight hopes that they added the ± operator in Mathcad Prime)

25-Diamond I
May 17, 2024

@DS_10024912 wrote:

Does Mathcad Prime include a ± plus/minus sign or symbol?  


In which way would you like to make use of such a sign?

 

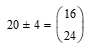
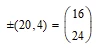
You can create a function like

Werner_E_0-1715909920922.png

and use it that way

Werner_E_1-1715909936572.png

In real Mathcad you can also use it as infix operator

Werner_E_3-1715910000029.png

but in Prime this option (like so many others) is not available.

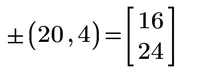
You can create the function in Prime but you only can use it in prefix mode with argument parenthesis

Werner_E_4-1715910277668.png

Werner_E_5-1715910290829.png

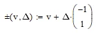
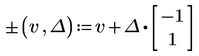
You may also define it as

Werner_E_0-1715911140548.png

but I guess this only makes sense if you can use it as infix operator.

 

13-Aquamarine
May 17, 2024

Thanks @Werner_E  - When I get around to installing Mathcad Prime 10 I'll have a look at your example document.   But, my typical use of the plus/minus operator is, well, an operator.   I'll have to see if I can use a function instead of a variable. 

 

Why did we move to Mathcad Prime if they don't have the ± plus/minus operator?

23-Emerald IV
May 17, 2024

What is your definition of the '+/- operator', what does it do according to you(r use of it)?

 

Luc