Skip to main content
11-Garnet
January 30, 2026
Solved

Possible Mathcad error

  • January 30, 2026
  • 3 replies
  • 549 views

Team,

 

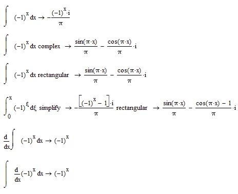
Please see this file. I believe Mathcad gives the wrong answer for the indefinite integral of ((-1)^x)dx.

 

Let me know what you think.

 

Regards,

Glen

Best answer by gatlas
No. I have not.

3 replies

23-Emerald IV
January 30, 2026

I guess you're right:

LucMeekes_2-1769814079025.png

LucMeekes_3-1769814095434.png

What version of Prime are you using?

 

Success!
Luc

gatlas11-GarnetAuthor
11-Garnet
January 30, 2026
Luc,

I'm using Mathcad Prime 11.

Regards,
Glen

Glen Atlas, MD, MSc
Office: 973-758-0758
FAX: 973-758-0405
29 Knollwood Dr.
Livingston, NJ 07039-3137



Professor
Dept. of Anesthesiology
Rutgers New Jersey Medical School
Newark, NJ
and
Adjunct Clinical Professor
Dept. of Biomedical Engineering
Stevens Institute of Technology
Hoboken, NJ


25-Diamond I
January 31, 2026

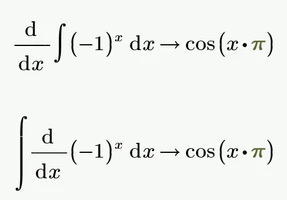
Yes, I would call it a bug in the symbolic engine and its already present in Prime 9 (can't test P8 or P7 as I don't have those versions installed).

Modifiers 'rectangular' or 'complex' don't help and also not writing it as a definite integral

Werner_E_0-1769824558594.png

and also

Werner_E_0-1769825145279.png

 

As Luc has shown it works OK in MC11 (with Maple as symbolic engine).

It also works OK in MC15 (with muPad as symbolic engine)

Werner_E_1-1769825236551.png

(The definite integral differs just by a constant i/pi which is OK)

 

DJNewman
18-Opal
February 2, 2026

Have you opened a case with PTC Support?

PTC Marketer for Creo and Mathcad. I run their YouTube channels, some Creo campaigns, and all Mathcad campaigns and communications.
gatlas11-GarnetAuthorAnswer
11-Garnet
February 2, 2026
No. I have not.