Prepare the contour stress plot
Create the contour plot in mathcad prime version 11
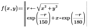
/ API 650 TANK NOZZLE ANALYSIS WITH 30mm PAD // Mathcad Prime Worksheet // Date: 2024 // ============================================ // 1. INPUT PARAMETERS // ============================================ // Tank Geometry D_tank ≔ 80.0 R_tank ≔ (D_tank ⋅ 1000)/2 // Shell and Pad t_shell ≔ 30 t_pad ≔ 30 t_total ≔ t_shell + t_pad // Nozzle DN ≔ 24 D_nozzle ≔ 610 d_nozzle ≔ 584.6 r_nozzle ≔ (D_nozzle + d_nozzle)/4 // Material Properties S_shell ≔ 163 S_nozzle ≔ 118 // Loads F_axial ≔ 15000 Mx ≔ 300000 ⋅ 1000 My ≔ 300000 ⋅ 1000 // Pressure P_total ≔ 0.1602 // ============================================ // 2. BASIC STRESS CALCULATIONS // ============================================ // Membrane stress with pad σ_mem_pad ≔ (P_total ⋅ R_tank)/(2 ⋅ t_total) // Original membrane stress (for comparison) σ_mem_original ≔ (P_total ⋅ R_tank)/(2 ⋅ t_shell) // Stress reduction percentage stress_reduction ≔ ((σ_mem_original - σ_mem_pad)/σ_mem_original) ⋅ 100 // Display results "BASIC STRESS RESULTS WITH 30mm PAD" = " Shell thickness: " t_shell " mm Pad thickness: " t_pad " mm Total thickness: " t_total " mm Membrane stress (original): " σ_mem_original " MPa Membrane stress (with pad): " σ_mem_pad " MPa Stress reduction: " stress_reduction " % " // ============================================ // 3. SCL PLOT DATA // ============================================ // Stress components with pad σ_membrane ≔ 42.65 σ_bending ≔ 28.65 // Create normalized thickness array s ≔ 0, 0.05‥1.0 N_points ≔ length(s) // X-axis: Distance from ID x_distance ≔ s ⋅ t_total // Y-axis: Stress distribution y_stress ≔ σ_membrane + (2⋅s - 1) ⋅ σ_bending // Allowable stress lines S_m_allow ≔ 118 S_L_allow ≔ 177 S_Pb_allow ≔ 177 y_Pm ≔ matrix(N_points, 1, S_m_allow) y_PL ≔ matrix(N_points, 1, S_L_allow) y_PLPb ≔ matrix(N_points, 1, S_Pb_allow) // ============================================ // 4. CREATE SCL PLOT // ============================================ // IN MATHCAD PRIME: // 1. Insert → Graph → XY Plot // 2. In the placeholder, type: // x_distance, y_stress, y_Pm, y_PL, y_PLPb // 3. Format as needed // ============================================ // 5. CONTOUR PLOT DATA // ============================================ // Create coordinate grid grid_size ≔ 20 X ≔ matrix(grid_size, grid_size, 0) Y ≔ matrix(grid_size, grid_size, 0) Z ≔ matrix(grid_size, grid_size, 0) // Fill the grid for i ∈ 0‥grid_size-1 for j ∈ 0‥grid_size-1 // Coordinates from -200 to 200 mm x_val ≔ -200 + 400⋅(i/(grid_size-1)) y_val ≔ -200 + 400⋅(j/(grid_size-1)) X[i,j] ≔ x_val Y[i,j] ≔ y_val // Stress calculation r ≔ sqrt(x_val^2 + y_val^2 + 0.001) Z[i,j] ≔ σ_membrane⋅exp(-r/150) + σ_bending⋅(x_val/200)⋅exp(-r/180) // Display contour data info "CONTOUR PLOT DATA" = " Grid size: " grid_size " × " grid_size " X range: -200 to 200 mm Y range: -200 to 200 mm Stress range: " min(Z) " to " max(Z) " MPa " // ============================================ // 6. CREATE CONTOUR PLOT // ============================================ // IN MATHCAD PRIME: // 1. Insert → Graph → Contour Plot // 2. In the placeholder, type: // X, Y, Z // 3. Format: // - Contour levels: 10, 20, 30, 40, 50, 60, 70 // - Color map: Thermal // - Title: "Stress Contour - With 30mm Pad"



