Prime 7 Use Find to solve a loop
- April 10, 2025
- 2 replies
- 1194 views
Hi all,
I need to solve a calculation using Mathcad prime 7 for my work, but i am newer of mathcad and not able to solve it by maself, even with the help of ChatGTP, it's not clear.
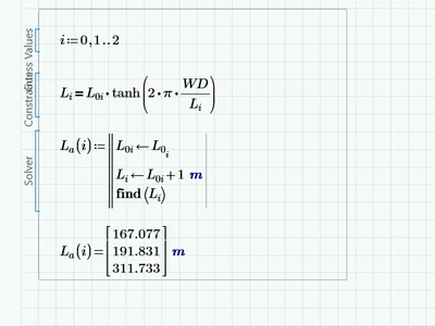
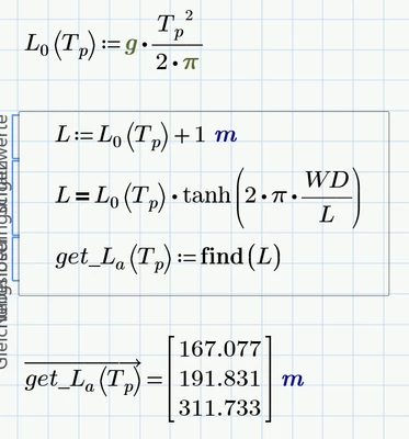
So my problem is, I have an array of 3 values as Tp by witch i can get my L0 array, and the fuction that i wanna get solved is as below.

When there is only one Tp/L0, the problem is easy to be solved, you will find the solution is 311.733m for a Tp of 15s. However, when the TP or L0 is an array of multiple values, then i cant get it solved correctly in the solve block, either i cant get a solution or the solution is incorrect (ie. for a Tp of 15s, the solution is 352.175m comparing to 311.733m that i found at the other sheet).
Btw, in my full calculation sheet (as shown below as screenshot), i build the block in the same way, not sure why it works but not in the calculation table I built separately.

Can someone can help me write it correctly ? thanks
Attachment:
Find with only one vector.mcdx
and Find with an array.mcdx


