Skip to main content
16-Pearl
September 29, 2017
Question

Prime Table observations

  • September 29, 2017
  • 1 reply
  • 1026 views

I've recently been using the Table feature as an easy way to list my input after seeing an exmaple posted here.  This spawned a few observations that may be of interest.  

 

First, a one row table is a scalar and not a vector.  It's handy, but I've never seen it documented that this is an intended feature.  

 

sv.jpg

 

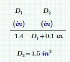
Next, I was entering data and tried to enter data as follows (a calculation).  I wasn't optimistic it would work, but it gives an answer for D_2.  It's the right value - but has changed units. 

table4.jpg

 

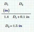
So, it appears that the unit in the table heading is simply multiplied by whatever is in the column.  Here's  how I get what I'm after (remove the column units). 

  table3.jpg    

I guess this was surprising as I expected D2 to be inches no matter what I entered.  And if the units didn't work out I expected an error.  But, D2 in fact comes through with whatever it calculates. 

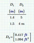
 aaa.jpg  

I'm curious if anyone else feels this is a questionable practice.  It'd be nice if something like this returned all inches (i.e. lengths), instead of an area.

  lll.jpg

 

 

 

1 reply

24-Ruby IV
October 8, 2017

Scalar, Vector, Function etc

svf.png