Probability
Hi Guys,
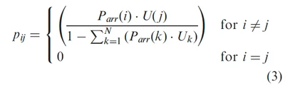
I'm doing assignment related to passenger transit probability which indicates the probability that a passenger chooses to travel from floor ''i'' to the floor ''j''. This is only 4 floor building.
''P_arr'' is an arrival rate on each floor and ''U'' is a dedicated population on each floor.
This is a formula which I have to use.

And this is my initial matrix from Word for calculation's

Does anyone know how to create a matrix 4x4 like below from vector ''U'' and vector ''P_arr"?

This is actual case study from one of journals and there are results for this if this helps a bit

I would be very grateful for help
Greg

